This software takes a sampled signal in a frequency domain and performs a spectral analysis based on the rational interpolation in Fourier-conjugate time domain. The assumed model of the analyzed signal versus frequency is a sum of complex-valued exponential terms with unknown magnitudes and phases. The goal is a determination of the unknown parameters.
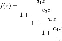
The method is grounded on the fact that such a model corresponds to the sum of pole functions in the time domain. The efficient method of poles parameters extraction is an interpolation of the sampled spectrum with a chain fraction:
with the interpolation points selected in maximums of the residual spectrum. This interpolation yields zeros and poles that are converted to the magnitudes and phases of the exponents.
Languages: Matlab
![]() |
![]() |
![]() |
![]() |
______________________________
“The job of formal methods is to elucidate the assumptions upon which formal correctness depends.”




