One of the most important technical applications of nonlinear material properties is to create logical devices, memory devices and data processing devices, based on the hysteresis phenomenon. An actual problem for development of modern information technology is the realization of such devices in the terahertz frequency range, and to increase performance while reducing size and weight.
Using the Bragg reflectors for strong frequency-selective feedback in Fabry-Perot resonator allows us to observe multistability with less thickness of the nonlinear layer. In most cases, the exact solution of the problem of electromagnetic field distribution on the boundary of the layered Bragg structure with Kerr nonlinear layers can not be found, and we have to use approximate numerical methods.
![]() |
![]() |
Logarithm of magnitude of wave transmitted through Bragg resonator with parallel nonlinear reactive lumped element for different incident magnitude (number on counters). Linear part of permittivity is equal to 1. Nonlinearity coefficient is equal to 0.05.
Bragg structures with nonlinear lumped elements and layers with Kerr nonlinearity are considered. The pseudoinverse method for calculating the field at the boundaries of the structures is proposed. This method is a combination of the transmission matrix method and the Jacobi iterative procedure.
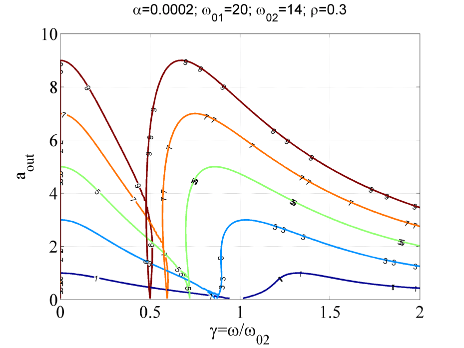
This approximate numerical method takes into account changing the field amplitude on the thickness of the nonlinear layer. The sufficient accuracy of the proposed method can be achieved by increasing the number of sublayers under decomposition of the nonlinear resonance layers. The presence of several nonlinearities in the resonant layer of Bragg resonator leads to a complex hysteretic behavior of the frequency characteristics due to the redistribution of the field between the parts of the resonance layer with different (decreasing and increasing) nonlinearity.
Electric and magnetic fields distributions versus normalized frequency and longitudinal coordinate along Bragg structure in logarithm scale
The characteristics of layered structure strongly depend on the location of the nonlinear lumped element inclusion. The width of the hysteresis loops and the shift of the resonance frequency can be varied by moving of the nonlinear lumped element with respect to the antinode of the electric field.
The proposed method allows us to investigate the resonance properties of structures with different combinations of nonlinear layers, including Bragg structures containing layers with several types of Kerr nonlinearity. The choosing of inclusion points of lumped nonlinear elements is a flexible tool to achieve the desired multistable frequency and amplitude characteristics.
Languages: Matlab
______________________________
“Chemistry, unlike other sciences, sprang originally from delusions and superstitions, and was at its commencement exactly on a par with magic and astrology.”


